Gimbal Lock
물체를 회전 시킬 때 x축, y축, z축의 회전 값을 합치게 되는데 합치는 과정에서 한 축이 먹통이 되는 상황이다. 합치는 것은 순서가 있기 때문에 예를 들어 x축, y축, z축 순서로 합친다고 하면 x축을 90도 돌려 y축에 정확히 겹치게 했을 때 축이 소실되는 문제가 발생한다. 짐벌 락 현상은 두번째로 결합하는 축이 사라진다.
위 영상을 보면 빨간색 축에 의해 파란색 축과 초록색 축이 겹치게 된다. 한번 겹치면 파란색 축은 초록색 축과 같은 방향으로 회전할 수 밖에 없고, 결과로 축 하나가 소실되는 것이다.
짐벌락 (Gimbal Lock)
3자유도 짐벌 시스템에는 3개의 고리가 있다. 각각의 고리는 자신이 가진 단일 회전축을 중심으로만 회전할 수 있다. 한 고리의 회전축은 다른 두 고리의 회전축과 서로 직각을 이루도록 만들어
pasus.tistory.com
사실 Lock이라는 표현과는 맞지 않게 여전히 세 축은 자유롭게 회전할 수 있긴 한데 자세한 내용은 위를 확인하자.

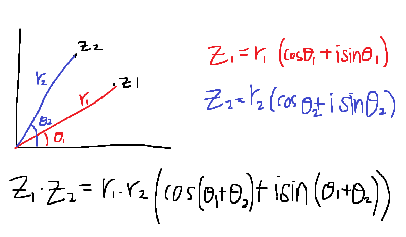
복소수의 곱셈으로 물체의 회전을 표현할 수 있다. 복소평면에서 z1과 z2의 곱셈 식은 위와 같은데 z2가 크기가 1인 단위 복소수일 경우 곱의 결과는 r1에서 θ2만큼 추가적으로 회전한 것과 같다.

복소수로 2차원 회전을 간단하게 표현할 수 있었고 3차원 회전을 위해 만든 것이 Quaternion(사원수)이다.
#2에서 이어진다. (비공개)
'그래픽스' 카테고리의 다른 글
| [DX12] Render Target (0) | 2022.07.28 |
|---|---|
| [DX12] Orthographic Projection (0) | 2022.07.28 |
| [DX12] Skybox (0) | 2022.07.26 |
| [DX12] Lighting 코드 #2 (0) | 2022.07.25 |
| [DX12] Lighting 코드 #1 (0) | 2022.07.25 |